Fuerzas conservativas y campos de fuerza
Si existe una fuerza conservativa que actúa sobre una partícula, esta se puede obtener a partir de la derivada de una función escalar de energía potencial,
y esto nos condujo a la noción de trabajo realizado por una fuerza al mover una partícula sobre
una trayectoria desde un punto A hasta un punto B,
el cual lo podemos ver como el negativo del cambio en la fuerza potencial de la partícula. Y esto nos facilita las cosas ya que no necesitamos saber cual fue el movimiento de la partícula desde A hasta B para calcular el trabajo ejercido por una fuerza conservadora. Pero también, habíamos visto que el trabajo realizado es igual al cambio en la energía cinética de la partícula,
y con esto pudimos establecer un principio de conservación de la energía, ya que el trabajo es el mismo podemos tener lo siguiente
por lo que la energía total se conserva en todo elmovimiento de la partícula, este principio se basa en que la fuerza que actúa sobre la partícula es conservativa, y lo que haremos será generalizar este concepto para una partícula que se mueve en tres dimensiones, pero para ello necesitamos algo que nos diga si una fuerza es conservativa o no y, por lo tanto, si existe o no una función de energía potencial para esa partícula.
Primero vamos a ver un ejemplo en el que suponemos que la fuerza no es conservadora, esta será una función de posición que este bien definida pero que no pueda derivarse de una función de energía potencial, vamos a considerar el siguiente campo de fuerza bidimensional:
![]() |
| Figura 1 |
si tenemos un campo de fuerza en el plano xy, al poner una partícula de prueba sobre este, la partícula sentirá una fuerza F, y por lo cual entonces podemos decir que el plano xy esta permeado con el potencial de crear una fuerza.
Este campo lo podemos representar matemáticamente si agregamos un vector F a cada punto del plano xy, entonces, esto será un campo vectorial representado por una función F(x, y) cuyas componentes son
en donde el término b es una constante en ambas componentes, entonces cada flecha de la figura 1 representa un vector de la forma
el cual estará evaluado en el punto en que se ubica el centro de la flecha, podemos ver que lamagnitud de los vectores aumenta conforme aumenta la distancia del centro, entonces, si soltamos una partícula de prueba en este campo la partícula se movería en el mismo sentido en que los vectores de campo lo hacen y esta ganaría energía cinética todo el tiempo. Si aplicamos el principio del trabajo, podríamos ver que, si la partícula hace una trayectoria cerrada llegando al mismo punto del que partió, el resultado que obtendríamos seria diferente de cero, ya que la partícula gana energía cinética constantemente, pero si a esta partícula le podemos asociar una energía potencial que dependa únicamente de la posición, entonces el cambio de energía potencial cuando hace una trayectoria cerrada esta sería igual a cero, hay que aclarar que no podemos asignar un solo valor de energía potencial ya que este depende de su posición y de las posiciones anteriores en las que ha estado dicha partícula.
La única forma en que podemos asignar un único valor a la energía potencial es, si la integral de trabajo en una trayectoria cerrada es igual a cero, por lo que el trabajo que se realiza en dicha trayectoria seria independiente de la ruta y esto equivaldría a la perdida de energía potencial y ganancia de energía cinética, entonces, la energía total de la partícula debería de ser constante e independiente de su ubicación en el campo de fuerza, si esto pasa debemos encontrar alguna restricción para la fuerza si la integral de trabajo en una trayectoria cerrada desaparece, para esto vamos a calcular el trabajo si la partícula de prueba se mueve en sentido anti-horario al rededor de un bucle rectangular de área
desde el punto (x, y) y viceversa como en la siguiente imagen
![]() |
| Figura 2 |
entonces, esto nos da
y esta integral se convierte en 4 una por cada lado del cuadrado y estas quedan como
y obtenemos que el trabajo es distinto de cero y proporcional al área del bucle que fue elegido de forma arbitraria, si dividimos el trabajo por el área del bucle
y si tomamos el siguiente límite límite
seguimos obteniendo el valor 2b.
Si ahora cambiamos la dirección de una de las componentes de la fuerza, con esto destruimos la circulación del campo y mantenemos su magnitud en todas partes, es decir
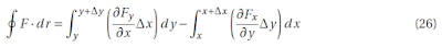
entonces, el campo de fuerza es un campo conservativo, pero debe de exister alguna condición en F para que la integral de trabajo desaparezca. Podemos obtener esta condición de restricción si evaluamos las fuerzas en los cambios de posición en x e y usando una expansión de Taylor, de la siguiente manera
y esto lo sustituimos en la integral de trabajo
y dependiendo del valor de la diferencia de las derivadas parciales es cero o distinto de cero nos conduce a lo que estamos buscando, es decir, si fuera cero e lugar de 2b la integral de trabajo se desaparece, lo cual nos asegura la existencia de una función de energía potencial de la cual se podría derivar la fuerza.











Comentarios
Publicar un comentario