Energía cinética de un sistema de N partículas
Vamos a partir del vector de posición ri' que posiciona a la i-ésima partícula con respecto al centro de masa de un sistema descrito de la siguiente manera
y vamos a hacer la derivada total con respecto al tempo t
pero
es la velocidad de la i-ésima partícula con respecto al origen de referencia del sistema,
es la velocidad de la i-ésima partícula respecto al centro demasa y
es la velocidad del centro de masa.
Si calculamos el modulo al cuadrado de (3) tenemos lo siguiente
pero esto lo podemos poner como un producto punto
pero sustituyendo (2) en (7) tenemos
y este producto punto es
por lo cual
con
entonces sustituyendo (11) en (13)
y esto lo podemos representar como
pero habiamos visto que del momento angular de uns sitema
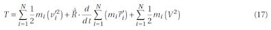
por lo que (17) se reduce a
entonces T es
y si renombramos los siguientes terminos
finalmente T es
por lo cual la energía cinética total T de un sistema de partículas es igual a la suma de la energía
cinética del centro de masa respecto al origen de referencia escogido Tcm y la energía cinética total
de las partículas individuales relativas al centro de masa T'.









Comentarios
Publicar un comentario