Movimiento de un sistema aislado de dos partículas - Masa reducida
Supongamos que tenemos un sistema discreto y cerrado el cual está constituido por dos partículas de masa m1 y m2 que interactuan entre sí. Sobre la partícula m1 actúa una fuerza F12(int) debido a la partícula m2 y sobre esta también actúa una fuerza F21(int) debido a m1, entonces las fuerzas F12(int) y F21(int) constituyen las fuerzas internas del sistema. sistema
Las ecuaciones de movimiento de ambas partículas estarán dadas por la siguiente expresión
en donde N es el número de partículas del sistema, por lo cual en este caso N=2, por lo tanto
vamos a tener que:
y de aquí vamos a tener que para la partícula m1 i=1
pero de la suma como i≠ j debido a que no hay auto-fuerzas, tenemos que i=1 entonces j solo
puede ser j = 2
y para la partícula m2 , i sera i=2 y como i≠ j , entonces tendremos que j=1
por lo cual
entonces las ecuaciones (4) y (6) se reducen a:
pero por la tercera ley de Newton tenemos que Fi j =- Fji por lo cual
entonces
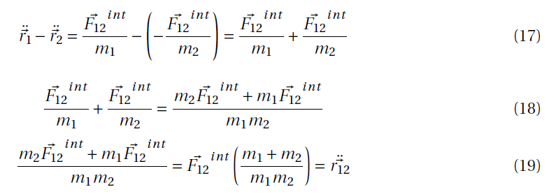
y este problema lo podemos reducir a un problema de un solo cuerpo, si encontramos la aceleración
relativa r12, vamos a tener que
entonces con las ecuaciones (12) y (15) sustituyéndolas en (16) vamos a tener que:
por lo que la fuerza nos queda
para simplificar la ecuación anterior (no es necesario) vamos a sustituir la fracción de las masas
por un μ
que se denomina masa reducida del sistema, entonces (20) se reduce a:
entonces podemos ver que de un sistema de dos partículas que están sometidas a fuerzas de interacción
unicamente entre ellas o un sistema aislado, vamos a tener que el movimiento relativo de las dos partículas es equivalente al movimiento relativo de una partícula de masa μ (masa reducida, respecto a un sistema inercial) del sistema que esta sometida a una fuerza igual a la de interacción. Este resultado es muy importante en Física ya que es lo que se usa para estudiar el movimiento planetario.













Comentarios
Publicar un comentario